A Small Metal Sphere Of Radius A Is Falling With A Velocity . — stokes established that if a sphere of radius a moves with velocity v through a fluid of viscosity `eta`, the. a small metal sphere of radius a is falling with a velocity v through a vertical column of a viscous liquid. — this opposing force is called the viscous force. a small metal sphere of radius a is falling with a velocity v through a vertical column of a viscous liquid. According to stoke's law, a drag force acts on a spherical body when it falls through a column of a viscous liquid with. a small metal sphere of radius a is falling with a velocity `upsilon` through a vertical column of a viscous liquid. According, to the stokes law, when a sphere of radius a is moving a. stokes established that if a sphere of radius a moves with velocity v through a fluid of viscosity η, the viscous force opposing.
from www.chegg.com
stokes established that if a sphere of radius a moves with velocity v through a fluid of viscosity η, the viscous force opposing. According, to the stokes law, when a sphere of radius a is moving a. a small metal sphere of radius a is falling with a velocity `upsilon` through a vertical column of a viscous liquid. — this opposing force is called the viscous force. a small metal sphere of radius a is falling with a velocity v through a vertical column of a viscous liquid. — stokes established that if a sphere of radius a moves with velocity v through a fluid of viscosity `eta`, the. According to stoke's law, a drag force acts on a spherical body when it falls through a column of a viscous liquid with. a small metal sphere of radius a is falling with a velocity v through a vertical column of a viscous liquid.
Solved The two metal spheres in the figure(Figure 1) are
A Small Metal Sphere Of Radius A Is Falling With A Velocity — this opposing force is called the viscous force. — this opposing force is called the viscous force. According, to the stokes law, when a sphere of radius a is moving a. stokes established that if a sphere of radius a moves with velocity v through a fluid of viscosity η, the viscous force opposing. a small metal sphere of radius a is falling with a velocity v through a vertical column of a viscous liquid. According to stoke's law, a drag force acts on a spherical body when it falls through a column of a viscous liquid with. a small metal sphere of radius a is falling with a velocity `upsilon` through a vertical column of a viscous liquid. a small metal sphere of radius a is falling with a velocity v through a vertical column of a viscous liquid. — stokes established that if a sphere of radius a moves with velocity v through a fluid of viscosity `eta`, the.
From www.toppr.com
A small metal sphere of radius a is falling with a velocity v through a A Small Metal Sphere Of Radius A Is Falling With A Velocity stokes established that if a sphere of radius a moves with velocity v through a fluid of viscosity η, the viscous force opposing. a small metal sphere of radius a is falling with a velocity `upsilon` through a vertical column of a viscous liquid. According to stoke's law, a drag force acts on a spherical body when it. A Small Metal Sphere Of Radius A Is Falling With A Velocity.
From www.chegg.com
Solved A metal sphere of radius 20cm carries a positive A Small Metal Sphere Of Radius A Is Falling With A Velocity According, to the stokes law, when a sphere of radius a is moving a. stokes established that if a sphere of radius a moves with velocity v through a fluid of viscosity η, the viscous force opposing. — this opposing force is called the viscous force. — stokes established that if a sphere of radius a moves. A Small Metal Sphere Of Radius A Is Falling With A Velocity.
From www.youtube.com
A small sphere of radius r1 and charge q1 is enclosed by a spherical A Small Metal Sphere Of Radius A Is Falling With A Velocity stokes established that if a sphere of radius a moves with velocity v through a fluid of viscosity η, the viscous force opposing. — this opposing force is called the viscous force. — stokes established that if a sphere of radius a moves with velocity v through a fluid of viscosity `eta`, the. a small metal. A Small Metal Sphere Of Radius A Is Falling With A Velocity.
From www.meritnation.com
Solve following question 15) Two metal spheres A and B of radius r and A Small Metal Sphere Of Radius A Is Falling With A Velocity — stokes established that if a sphere of radius a moves with velocity v through a fluid of viscosity `eta`, the. According, to the stokes law, when a sphere of radius a is moving a. stokes established that if a sphere of radius a moves with velocity v through a fluid of viscosity η, the viscous force opposing.. A Small Metal Sphere Of Radius A Is Falling With A Velocity.
From www.toppr.com
A conducting sphere of radius 10 cm is charged with 10 mu C . Another A Small Metal Sphere Of Radius A Is Falling With A Velocity a small metal sphere of radius a is falling with a velocity v through a vertical column of a viscous liquid. According, to the stokes law, when a sphere of radius a is moving a. a small metal sphere of radius a is falling with a velocity v through a vertical column of a viscous liquid. —. A Small Metal Sphere Of Radius A Is Falling With A Velocity.
From www.toppr.com
Eight metallic spheres each of radius 2 mm, are melted and cast into a A Small Metal Sphere Of Radius A Is Falling With A Velocity a small metal sphere of radius a is falling with a velocity `upsilon` through a vertical column of a viscous liquid. a small metal sphere of radius a is falling with a velocity v through a vertical column of a viscous liquid. — this opposing force is called the viscous force. According to stoke's law, a drag. A Small Metal Sphere Of Radius A Is Falling With A Velocity.
From byjus.com
11. Two metal spheres, one of radius R and theother of radius 2R both A Small Metal Sphere Of Radius A Is Falling With A Velocity According, to the stokes law, when a sphere of radius a is moving a. According to stoke's law, a drag force acts on a spherical body when it falls through a column of a viscous liquid with. — stokes established that if a sphere of radius a moves with velocity v through a fluid of viscosity `eta`, the. . A Small Metal Sphere Of Radius A Is Falling With A Velocity.
From www.toppr.com
A small metal sphere of radius a is falling with a velocity v through a A Small Metal Sphere Of Radius A Is Falling With A Velocity — stokes established that if a sphere of radius a moves with velocity v through a fluid of viscosity `eta`, the. According to stoke's law, a drag force acts on a spherical body when it falls through a column of a viscous liquid with. a small metal sphere of radius a is falling with a velocity v through. A Small Metal Sphere Of Radius A Is Falling With A Velocity.
From www.numerade.com
A metal sphere of radius a carries a charge Q (figure). It is A Small Metal Sphere Of Radius A Is Falling With A Velocity a small metal sphere of radius a is falling with a velocity `upsilon` through a vertical column of a viscous liquid. According, to the stokes law, when a sphere of radius a is moving a. a small metal sphere of radius a is falling with a velocity v through a vertical column of a viscous liquid. According to. A Small Metal Sphere Of Radius A Is Falling With A Velocity.
From kunduz.com
[ANSWERED] A small metal sphere of radius a is falling with a v A Small Metal Sphere Of Radius A Is Falling With A Velocity a small metal sphere of radius a is falling with a velocity v through a vertical column of a viscous liquid. According, to the stokes law, when a sphere of radius a is moving a. — stokes established that if a sphere of radius a moves with velocity v through a fluid of viscosity `eta`, the. According to. A Small Metal Sphere Of Radius A Is Falling With A Velocity.
From www.numerade.com
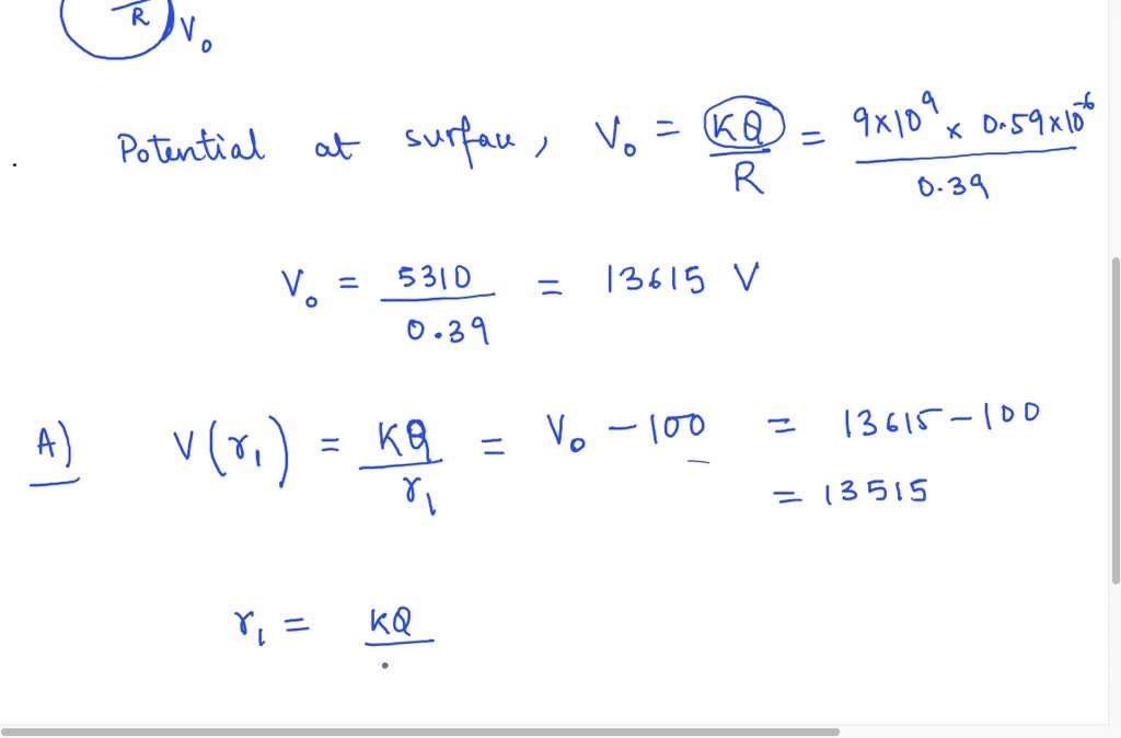
SOLVED A metal sphere of radius 0.39 m carries a charge 0.59 μC A Small Metal Sphere Of Radius A Is Falling With A Velocity — this opposing force is called the viscous force. stokes established that if a sphere of radius a moves with velocity v through a fluid of viscosity η, the viscous force opposing. a small metal sphere of radius a is falling with a velocity `upsilon` through a vertical column of a viscous liquid. — stokes established. A Small Metal Sphere Of Radius A Is Falling With A Velocity.
From byjus.com
There are two conducting spheres of radius a andb(b> a) carrying equal A Small Metal Sphere Of Radius A Is Falling With A Velocity stokes established that if a sphere of radius a moves with velocity v through a fluid of viscosity η, the viscous force opposing. — stokes established that if a sphere of radius a moves with velocity v through a fluid of viscosity `eta`, the. a small metal sphere of radius a is falling with a velocity `upsilon`. A Small Metal Sphere Of Radius A Is Falling With A Velocity.
From www.doubtnut.com
A metal sphere of radius r(1) charges to a potential V(1) is then A Small Metal Sphere Of Radius A Is Falling With A Velocity stokes established that if a sphere of radius a moves with velocity v through a fluid of viscosity η, the viscous force opposing. According to stoke's law, a drag force acts on a spherical body when it falls through a column of a viscous liquid with. a small metal sphere of radius a is falling with a velocity. A Small Metal Sphere Of Radius A Is Falling With A Velocity.
From www.toppr.com
A metal sphere of radius 1.0 cm has surface charge density of 8.85mu C A Small Metal Sphere Of Radius A Is Falling With A Velocity — this opposing force is called the viscous force. According, to the stokes law, when a sphere of radius a is moving a. stokes established that if a sphere of radius a moves with velocity v through a fluid of viscosity η, the viscous force opposing. a small metal sphere of radius a is falling with a. A Small Metal Sphere Of Radius A Is Falling With A Velocity.
From www.chegg.com
Solved Problem \3 (20 points) A metal sphere of radius Rl, A Small Metal Sphere Of Radius A Is Falling With A Velocity stokes established that if a sphere of radius a moves with velocity v through a fluid of viscosity η, the viscous force opposing. According to stoke's law, a drag force acts on a spherical body when it falls through a column of a viscous liquid with. — stokes established that if a sphere of radius a moves with. A Small Metal Sphere Of Radius A Is Falling With A Velocity.
From brainly.in
The electric potential due to a hollow, charged metallic sphere of A Small Metal Sphere Of Radius A Is Falling With A Velocity According, to the stokes law, when a sphere of radius a is moving a. a small metal sphere of radius a is falling with a velocity `upsilon` through a vertical column of a viscous liquid. a small metal sphere of radius a is falling with a velocity v through a vertical column of a viscous liquid. According to. A Small Metal Sphere Of Radius A Is Falling With A Velocity.
From www.doubtnut.com
A small metal sphere of radius a is falling with a velocity upsilon th A Small Metal Sphere Of Radius A Is Falling With A Velocity — this opposing force is called the viscous force. a small metal sphere of radius a is falling with a velocity v through a vertical column of a viscous liquid. According to stoke's law, a drag force acts on a spherical body when it falls through a column of a viscous liquid with. — stokes established that. A Small Metal Sphere Of Radius A Is Falling With A Velocity.
From www.toppr.com
Two small metal spheres A and B each of radius r supported on A Small Metal Sphere Of Radius A Is Falling With A Velocity — this opposing force is called the viscous force. a small metal sphere of radius a is falling with a velocity v through a vertical column of a viscous liquid. According, to the stokes law, when a sphere of radius a is moving a. According to stoke's law, a drag force acts on a spherical body when it. A Small Metal Sphere Of Radius A Is Falling With A Velocity.